Identify The Structure For The Following 1h Nmr Spectrum
The following are available online Figure S1. Vollhardt Organic Chemistry Structure Function 6th txtbkPDF.

Nmr Number Of Signals And Equivalent Protons Chemistry Steps
Smart Materials and Structures is a multi-disciplinary journal dedicated to technical advances in and applications of smart materials systems and structures.

Identify the structure for the following 1h nmr spectrum. We offer assignment help in more than 80 courses. The chemical theory that underlies NMR spectroscopy depends on the intrinsic spin of the nucleus involved described by the quantum number S. Vollhardt Organic Chemistry Structure Function 6th txtbkPDF.
Cysteine is a non-essential sulfur-containing amino acid in humans related to cystine Cysteine is important for protein synthesis detoxification and diverse metabolic functionsFound in beta-keratin the main protein in nails skin and hair Cysteine is important in collagen production as well as skin elasticity and texture. Including intelligent systems sensing and actuation adaptive structures and active control. We are also able to handle any complex paper in any course as we have employed professional writers who are specialized in different fields of study.
D N6 and e N8. Classification of enzymes responsible for enzymatic browning. 1 H 2D ROESY spectrum showing.
2D 1 H 13 C HMBC top 1D 1 H side 1D 13 C spectrum a N2. 1 H and 13 C NMR assignments for compounds N2 N3 N4 N6 and N8. Range than 1H signals making it easier to identify and count individual nuclei Figure 1 shows the 1H NMR spectrum of 1-chloropentane.
From their experience they are able to work on the most difficult assignments. The 1H NMR 13C NMR mass spectrum for this unknown compound are shown on the following page. To demonstrate the water-induced dynamic structure changes of spent SAPO-34 catalysts after the MTO conversion 1D 27 Al and 31 P MAS NMR as well as 2D 31 P-27 Al HETCOR MAS NMR spectra of the.
The following are some of the course we offer assignment help in. Nuclei with a non-zero spin are always associated with a non-zero magnetic moment as described by Equation ref1 where μ is the magnetic moment S is the spin and γ is always non-zero.

1 H Nmr Spectrum Of Alkaloid 1 Download Scientific Diagram

Which Structure Of The Molecular Formula C7h14o Fits The Proton Nvr Spectrum Shown Below Image Src Spectrum3344481430781083231 Jpg Alt Spectrum Caption Study Com
.jpg)
Using Proton Nmr Spectroscopy For The Identification Of The Isomers Of Ethyl Acetate Butyric Acid And Isobutyric Acid

Nuclear Magnetic Resonance Nmr Spectroscopy Hydrogen Resource Rsc Education
How Will You Differentiate The Compounds Using Nmr Spectroscopy Quora
Deciphering 1h Nmr Spectra Organic Chemistry Help

31 P Nmr Spectroscopy Solved Problems Inorganic Spectroscopy Youtube

How To Determine The Number Of Signals In A H Nmr Spectrum Youtube

Draw The Structure Of Molecular Formula C8h10o That Produced The 1h Nmr Spectra Shown Below The Ir Spectra Does Not Show A Broad Absorbance At 3300 Cm 1 Or A Strong Absorbance At

Solved 12 Identify The Structure For The Following H Nmr Chegg Com

Integration Of Proton Nmr Absorptions Mcc Organic Chemistry

2 01 1 00 6 03 5 01 2 00 2 00 45 18 Compound H C9h12 Gives A Proton Nmr Spectrum Homeworklib

Which Of The Following Compounds Will Display Only Two Singlets In Its 1h Nmr Spectrum Study Com

1 Dimensional 1 H Nmr Spectrum Of The Blood Plasma Lipid Extract Of A Download Scientific Diagram
.jpg)
Forensic Drug Analysis Using Nmr Spectroscopy

Deciphering 1h Nmr Spectra Organic Chemistry Help

1h Nmr Spectrum Of Ethyl Bromide C2h5br Youtube

12 3 Chemical Shifts And Shielding Chemistry Libretexts

Nmr Spectroscopy Practice Problems

How Do I Figure Out How Many Hydrogens My Compound Actually Has Using A Mass And Nmr Spectrum Chemistry Stack Exchange

Solved Match The Following 1h Nmr Spectrum With One Of The Chegg Com

The 13 C Nmr Spectrum Of Resin Phenol Formaldehyde Naoh 1 2 4 0 8 Download Scientific Diagram

Assigning A 1h Nmr Spectrum Youtube

Nmr Spectroscopy Visualized Youtube

How Many Unique 1h Nmr Signals Exist In The Spectrum Of The Following Compound Home Work Help Learn Cbse Forum

H Nmr Spectrum With Spin Spin Coupling Tutorials 2021 1 Documentation

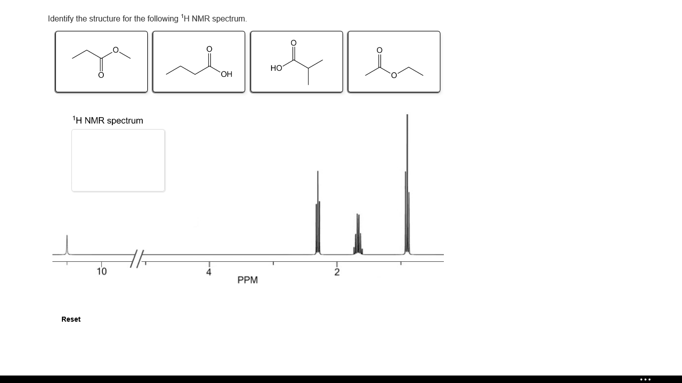
Solved Identify The Structure For The Following 1h Nmr Chegg Com
Two Dimensional Nmr Spectroscopy

Nmr Spectroscopy Practice Problems

Pin On Nmr Spectroscopy Practice Problems
Solved Which C9h10o Compound Gives The Following 1h Nmr Spectrum Course Hero

Sapling Week 6 Technique N 1 Hnmr And Cnmr Flashcards Quizlet

Nuclear Magnetic Resonance Nmr Spectroscopy Hydrogen Resource Rsc Education

Nmr Chemical Shift Ppm Upfield Downfield Chemistry Steps

Proton Decoupled Nuclear Magnetic Resonance Spectrum An Overview Sciencedirect Topics

Solved Match The Following 1h Nmr Spectrum With One Of The Chegg Com

Solved Identify The Structure For The Following 1h Nmr Chegg Com

12 12 C Nmr Spectroscopy And Dept Chemistry Libretexts
Difference Between 1h Nmr And 13c Nmr Definition Chemical Shift Features Examples And Differences

4 7 Nmr Spectroscopy Chemistry Libretexts

How To Draw The Proton Nmr Spectrum Of An Organic Molecule Youtube

Molecular Structure And 1 H Nmr Spectrum 600 13 Mhz Of Mdma Hcl In D Download Scientific Diagram

12 04 Two Dimensional Nmr Spectroscopy Youtube

6 7 H Nmr Spectra And Interpretation Part Ii Organic Chemistry

1d Nmr Spectroscopy An Overview Sciencedirect Topics

Answers To Assignment 3 Chem2o6

H Nmr Spectrum With Spin Spin Coupling Tutorials 2021 1 Documentation

Proton Nmr How To Analyze The Peaks Of H Nmr Spectroscopy Youtube

Ch 15 Nmr Multichoice Flashcards Quizlet

Answers To Problem Set 9 Chem2o6

Answers To Problem Set 9 Chem2o6

Organic Chemistry 332 Sapling Learning Ch 15 Flashcards Quizlet

6 7 H Nmr Spectra And Interpretation Part Ii Organic Chemistry
![]()
Solution What Is The Structure Of The Co Organic Chem

Solved Identify The Structure For The Following 1h Nmr Chegg Com

Multiplicity In Proton Nmr Chemistry Libretexts
Hydrogen Proton Deuterium And Tritium Nmr

Answers To Assignment 3 Chem2o6

Integration In Nmr Spectroscopy Chemistry Steps
Two Dimensional Nmr Spectroscopy
Two Dimensional Nmr Spectroscopy

How To Determine Structure Of An Ester From Proton Nmr Spectrum Youtube

Nuclear Magnetic Resonance Nmr

Nuclear Magnetic Resonance Nmr Spectroscopy Hydrogen Resource Rsc Education

6 8 C Nmr Spectroscopy Organic Chemistry

How2 Interpret A Proton Nmr Spectrum Youtube

6 6 H Nmr Spectra And Interpretation Part I Organic Chemistry

Nmr Spectroscopy Practice Problems

Solved Identify The Structure For The Following 1h Nmr Chegg Com
Solved Check My Work Identify The Structure For The Chegg Com

14 6 Spin Spin Coupling Can Lead To Multiplets In Nmr Spectra Chemistry Libretexts

Nmr Number Of Signals And Equivalent Protons Chemistry Steps

The Following Compounds All Show A Single Clutch Prep

1 Dimensional 1 H Nmr Spectrum Of The Blood Plasma Lipid Extract Of A Download Scientific Diagram

H Nmr Spectrum With Spin Spin Coupling Tutorials 2021 1 Documentation

Solved Match The Following 1h Nmr Spectrum With One Of The Chegg Com

A Compound With Molecular Formula C7h14o2 Displays The Following Ir 1h Nmr And 13c Nmr Spectra Propose A Structure For This Compound Socratic

How To Assign Overlapping Multiplets In 1h Nmr Spectra Chemistry Stack Exchange

Integration In Nmr Spectroscopy Chemistry Steps

Splitting And Multiplicity N 1 Rule In Nmr Spectroscopy Chemistry Steps

Answers To Assignment 3 Chem2o6

1 H Nmr Spectrum Of The Plga Copolymer Download Scientific Diagram

Solved Identify The Structure For The Following H Nmr Chegg Com

Identify The Structure For The Following H Nmr Spectrum Ho 6 59 10 A Ppm Reset Homeworklib
Integration In Proton Nmr Chemistry Libretexts

1h Nmr Of C5h10o2 Pentatonic Acid Valeric Acid Youtube

6 8 C Nmr Spectroscopy Organic Chemistry





